Thrusts on walls due to the earthquake
Author: Win Aung Cho04-Jun-2022 04:04:25 PM*
ငလျင် ကြောင့် မြေအောက် နံရံများတွင် သက်ရောက်သော အား တွက်ချက်ပုံ
Mononobe-Okabe method
ယင်းနည်းသည် ပလပ်စတစ် နည်းအယူအဆဖြစ် ပြီး သဲဆန်သော granular မြေအမျိုးအစား အတွက် ဖြစ်၏
မြေကြီး၏ တည်ငြိမ်ဖိအား၊ အင်နားရှား အား နှင့် ငလျင် အဖျက်အားတို့ ၏ ပေါင်းလာဒ် ကိုတွက်ထုပ်ခြင်း ဖြစ်၏
Source: Sismoresistente Construction Standard: Bridges. NCSP-07
Mononobe-Okabe method
Active and Passive Pressure on Wall
ငလျင်မလှုပ်မှီ အချိန်တွင် နံရံပေါ်တွင် တွန်းဖိအား (active pressure)နှင့် ခုခံဖိအား (pasive pressure) ၂မျိုး သက်ရောက်နေပေမည်၊ တွန်းဖိအား ကို Eae ဖြင့် ၄င်း ခုခံဖိအား ကို Epe ဖြင့် ၄င်း သတ်မှတ်ပါစို့
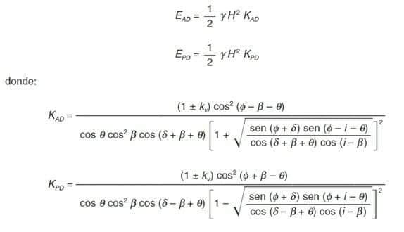
Value of Eae and Epe
တွန်းဖိအား Eae နှင့် ခုခံဖိအား Epe တို့၏ ပမာဏကို ဖော်မြူလာဖြင့် ဖော်ပြနိုင်ပေသည်၊
Location of Active Force
မြေသား တမျိုးတစားတည်း တသားတည်းရှိနေသော မြေအတွင်းရှိ နံရံပေါ်တွင် ဖိအားသည် တည်ငြိမ်ဖိအားဖြစ်ပြီး တရိဂံ ဥပဒေသ ကိုလိုက်နာသည်၊ သက်ရောက်ရာ ဗဟိုချက် မ သည် နံရံအောက်ခြေမှ နံရံအမြင့်၏ ၃ ပုံ တပုံ နေရာတွင် ရှိပေမည်။
At the time of earthquake ငလျင်လှုပ်ချိန်
ငလျင်လှုပ်သော လှုပ်ရှား တွန်းအားများဖြစ်သော တွန်းဖိအား Ead နှင့် ခုခံ ဖိအား Epd တို့ကို အထက်ပါအတိုင်း တွက်ချက်နိုင်သည်။
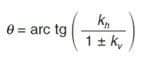
ရေပြင်ညီ ငလျင် ကိန်းသေ Kh ရရန် ငလျင်ကြောင့် ဖြစ်သော ရေပြင်ညီ အရှိန် ac ကို မြေဆွဲအား ကိန်းသေ g ဖြင့် စားခြင်းဖြင့် ရနိုင်ပေသည်၊
ထက်အောက်ရွေ့လျား မှုကြောင့် ငလျင် သက်ရောက်မှုကို ရေပြင်ညီ၏ ၅၀% ဟု ခန့်မှန်း နိုင်ပေသည်၊
အကယ်၍ (i + Ɵ> Φ) ဖြစ်ပါက sine (Φ - i - Ɵ) ၏ တန်ဘိုးသည် အနုပ်ဖြစ်မည်၊ ထိုအခါ (Φ - i - Ɵ) = 0 ဒု ယူဆနိုင်ပေသည်။
Annex E of the Eurocode EN 1998-5: 2004 (Eurocode 8, part 5),
အကယ်၍ (i + Ɵ> Φ) ဖြစ်ပါက sine (Φ - i - Ɵ) ၏ တန်ဘိုးသည် အနုပ်ဖြစ်မည်၊ ထိုအခါ (Φ - i - Ɵ) = 0 ဒု ယူဆနိုင်ပေသည်။
Annex E of the Eurocode EN 1998-5: 2004 (Eurocode 8, part 5),
ငလျင်လှုပ်ချိန်တွင် စုစုပေါင်း နံရံပေါ် သက်ရောက်အားသည် တည်ငြိမ် ဖိအားနှင့် လှုပ်ရှား ဖိအား ၂ ခု ပေါင်းလာဒ် ဖြစ်သည်၊
လှုပ်ရှား ဖိအားသည် တည်ငြိမ်ဖိအား တရိဂံ နှင့်ပြောင်းပြန်ဖြစ် ပြီး အပေါ်ဘက်တွင် အား များလေသည်၊
Origional Post
လှုပ်ရှား ဖိအားသည် တည်ငြိမ်ဖိအား တရိဂံ နှင့်ပြောင်းပြန်ဖြစ် ပြီး အပေါ်ဘက်တွင် အား များလေသည်၊
Origional Post
တည်ငြိမ်ဖိအား နှင့် လှုပ်ရှားဖိအား
Author: Win Aung Cho
04-Jun-2022 04:04:25 PM*