Analysis on Vehicle-Bridge Coupling
Author: Win Aung Cho01-Apr-2022 04:25:26 PM*
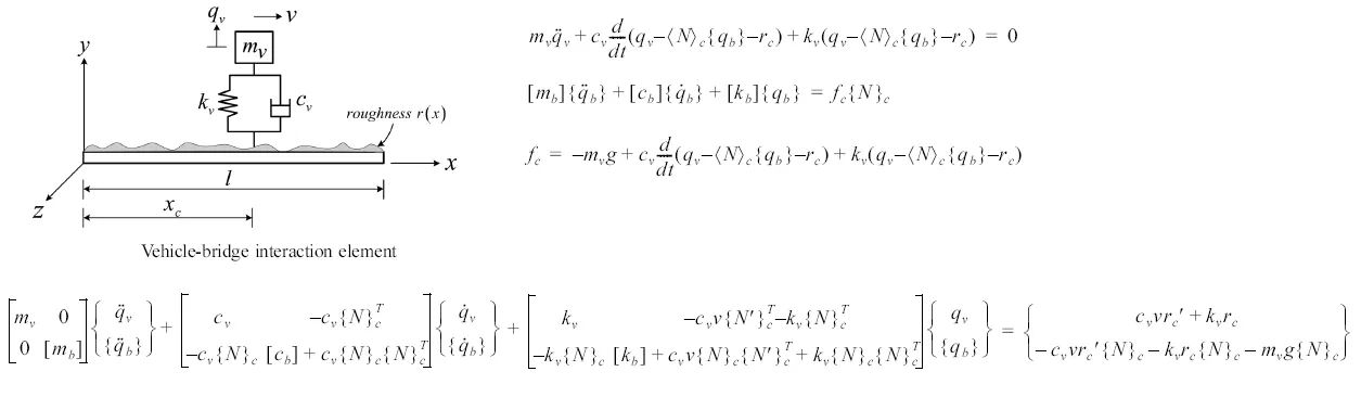
Analysis on Vehicle-Bridge Coupling.
See various model single wheel, two wheels and full 3D with 2 axles.
VBC or VBI model are used for the various purposes such as impact load calculation, dynamic maganification factor, bridge crack analysis, roughness effect on vehical load implification, frequency limitation for the damage control, Vehicle + Bridge + Wind effect, to find optimal suspension system for the passenger car or rail ....etc,.....
See various model single wheel, two wheels and full 3D with 2 axles.
VBC or VBI model are used for the various purposes such as impact load calculation, dynamic maganification factor, bridge crack analysis, roughness effect on vehical load implification, frequency limitation for the damage control, Vehicle + Bridge + Wind effect, to find optimal suspension system for the passenger car or rail ....etc,.....
Effect of road surface roughness
Effect of road surface roughness on indirect approach for measuring bridge frequencies from a passing vehicle
K.C. Chang, F.B. Wu and Y.B. Yang
Department of Civil Engineering, National Taiwan University, Taipei, Taiwan
K.C. Chang, F.B. Wu and Y.B. Yang
Department of Civil Engineering, National Taiwan University, Taipei, Taiwan
Time-frequency analysis of a coupled bridge-vehicle system
Time-frequency analysis of a coupled bridge-vehicle system with breathing cracks
W.J. Wang, Z.R. Lu and J.K. Liu
In this model Rayleigh damping model is adopted.
W.J. Wang, Z.R. Lu and J.K. Liu
In this model Rayleigh damping model is adopted.
Numerical analysis of dynamic response of vehicle–bridge coupled system
Numerical analysis of dynamic response of vehicle–bridge coupled system on long-span continuous girder bridge
Lipeng An, Dejian Li, Peng Yu, Peng Yuan,
Lipeng An, Dejian Li, Peng Yu, Peng Yuan,
Author: Win Aung Cho
01-Apr-2022 04:25:26 PM*